China 200G 400G DCI supplier

Câble de dérivation Hairtail+ 800G IB NDR OSFP vers 2xOSFP à connexion directe

Caractéristiques

  • Module OSFP conforme à OSFP MSA
  • Débit de transmission de données jusqu'à 106,25 Gbit/s par canal en PAM4.
  • Activer la transmission de 800 Gb/s à 2 x 400 Gb/s
  • Longueur du lien jusqu'à 3 m
  • Fonctions EEPROM intégrées • Température de fonctionnement du boîtier : 0 °C à +70 °C
  • Conforme à la directive RoHS 2.0
  • Détails du produit

Câble de dérivation Hairtail+ 800G IB NDR OSFP vers 2xOSFP à connexion directe

Remplacer Nvidia MCP7Y00-Nxxx

800G IB NDR OSFP Breakout to 2xOSFP Direct Attached Cable

Valeurs maximales absolues

Paramètre Symbole Min Typique Max Unité
Tension d'alimentation Vcc 3.13 3.3 3,47 V
température de stockage Ts -40 85
Température du boîtier de fonctionnement Tc 0 70
Humidité Rh 5 85 %
Débit de données 800 Gbit/s

Caractéristiques physiques

Paramètre Symbole Min Typique Max Unité
Longueur L 0,5 3.0 M
AWG 28 25 AWG
matériau de la veste Filet HAIRTAIL+ Technology, Gris argenté

Spécifications électriques

Paramètre Symbole Min Typique Max Unité
Résistance Rcon 3 ohm
Résistance d'isolement Rinçages 10 Mohm
Impédance du câble brut Zca 95 100 110 ohm
Impédance du connecteur apparié Zmated 85 100 115 ohm

Perte d'insertion maximale

à 26,56 GHz
SDD21 11 18 1,5 m dB
19,75 2,0 M
25.3 1,5 m

Différentiel à

retour en mode commun perte

SCD11/2 2

Pour 0,05 ≤ f ≤ 40 GHz, où f est la fréquence en GHz

dB

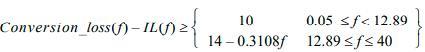
Différentiel à

perte de conversion en mode commun
SCD21-S DD21

Pour 0,05 ≤ f ≤ 40 GHz, où f est la fréquence en GHz

dB

Retour en mode commun perte

SCC11/2 2

RLcc(f)≥1,8

Pour 0,05 ≤ f ≤ 40 GHz, où f est la fréquence en GHz

dB
COM minimum COM 3 dB

Description de l'épingle

800G IB NDR OSFP Breakout to 2xOSFP Direct Attached Cable

Détails du brochage électrique pour OSFP

800G OSFP to 2x400G OSFP DAC Cable

800G OSFP to 2x400G OSFP DAC Cable

Carte mémoire du module

Compatible avec CMIS rev 5.0 ou les révisions CMIS ultérieures et les spécifications du client.

Dimensions mécaniques

800G IB NDR OSFP Breakout to 2xOSFP Direct Attached Cable

800G IB NDR OSFP Breakout to 2xOSFP Direct Attached Cable

P0 FIN P1 & P2 FIN
JAUGE OD RAYON DE COURBURE « R » RAYON DE COURBURE MINIMUM « L » JAUGE OD RAYON DE COURBURE « R » RAYON DE COURBURE MINIMUM « L »
28AWG 10,2 mm 21 mm 81 mm 28AWG 7,0 mm 14 mm 75 mm
26/25AWG 12,1 mm 25 mm 85 mm 26/25AWG 8,3 mm 17 mm 78 mm

Informations de commande

Numéro de modèle Description
DAC-1X2-8/4-M5 DAC OSFP 800G IB NDR vers 2xOSFP, Hairtail+, 0,5 m, 28AWG, gris argenté.
DAC-1X2-8/4-1M DAC OSFP 800G IB NDR vers 2xOSFP, Hairtail+, 1,0 m, 28AWG, gris argenté.
DAC-1X2-8/4-1M5 DAC OSFP 800G IB NDR vers 2xOSFP, Hairtail+, 1,5 m, 26/25AWG, Gris argenté.
DAC-1X2-8/4-2M DAC OSFP 800G IB NDR vers 2xOSFP, Hairtail+, 2,0 m, 26/25AWG, Gris argenté.
DAC-1X2-8/4-2M5 DAC OSFP 800G IB NDR vers 2xOSFP, Hairtail+, 2,5 m, 25AWG, gris argenté.
DAC-1X2-8/4-3M DAC OSFP 800G IB NDR vers 2xOSFP, Hairtail+, 3,0 m, 25 AWG, gris argenté.

Références

  • IB NDR et IEEE 802.3ck
  • OSFP MSA Rév. 5.0
  • Spécification d'interface de gestion commune (CMIS) Rév. 5.0

Vous souhaitez en savoir plus sur ce produit ?

ENVOYER UN Message
laisser un message

Si Vous êtes intéressé par nos produits et vous souhaitez connaître plus de détails, s'il vous plaît laissez un message ici, nous vous répondrons dès que nous Can.

Produits connexes
100G QSFP28 AOC cable 100g QSFP28 AOC Émetteur-récepteur
Jusqu'à 27,952 GBPS Taux de données Per canalMax lien vers 100m sur om3 Câble et 150m sur om4 câble. Fiabilité élevée 850nm Vcsel La technologieélectriquement hot-pluggable faible consommation d'énergie faible EMI conception
40G QSFP AOC cable 40g QSFP + AOC Émetteur-récepteur
jusqu'à 4x10gbbps débit de donnéesMax lien vers 100m sur om3 Câble et 150m sur om4 câble. Fiabilité élevée 850nm Vcsel La technologieélectriquement hot-pluggable faible consommation d'énergie faible EMI conception
400G QSFP-DD DOC cable 400g QSFP-DD DAC Émetteur-récepteur
QSFP-DD MSA, jusqu'à 8x 53.125GB / S, 400g DAC câble Fiabilité élevée 850nm Vcsel La technologieélectriquement hot-pluggable faible consommation d'énergie faible EMI conception
10G QSFP28 AOC cable SFP AOC Émetteur-récepteur
SFP + 10g Données, SFP28 25g Les données Fiabilité élevée 850nm Vcsel La technologieélectriquement hot-pluggable faible consommation d'énergie faible EMI conception
200G QSFP56 DOC cable 200g QSFP56 DAC Émetteur-récepteur
QSFP56 MSA, jusqu'à 4x 53.125GB / S, 200g DAC câble Fiabilité élevée 850nm Vcsel La technologieélectriquement hot-pluggable faible consommation d'énergie faible EMI conception
100G QSFP28 DOC cable 100g QSFP28 DAC Émetteur-récepteur
QSFP28 MSA, jusqu'à 4x 25 Go / S, 100g DAC câble Fiabilité élevée 850nm Vcsel La technologieélectriquement hot-pluggable faible consommation d'énergie faible EMI conception
40G QSFP+ DOC cable 40g QSFP + DAC Émetteur-récepteur
QSFP28 MSA, jusqu'à 4x 10 Go / S, 40g DAC câble Fiabilité élevée 850nm Vcsel La technologieélectriquement hot-pluggable faible consommation d'énergie faible EMI conception
10G SFP+ DOC cable SFP DAC Émetteur-récepteur
SFP + MSA, 10g DAC câble; SFP28 MSA, 25g DAC câble Fiabilité élevée 850nm Vcsel La technologieélectriquement hot-pluggable faible consommation d'énergie faible EMI conception
laisser un message
laisser un message
Si Vous êtes intéressé par nos produits et vous souhaitez connaître plus de détails, s'il vous plaît laissez un message ici, nous vous répondrons dès que nous Can.

Maison

Produits

à propos

contact